行列 式 因数 分解 506127-行列式 因数分解 文字
· 上の例題をたすき掛けで解くと、ac=3、bd=8、adbc=14なので上のようになります。 まずac=3になるaとcの組み合わせは1と3か1と3の組み合わせしかありません。 しかし、この形の因数分解をする場合は、aとcが両方マイナスにはしません。 その方が、因数分解した後の式がすっきりするからです。 次にbd=8になる組み合わせは1と8、1と8、2と4、2と4の4とおりに · 行列式を利用した因数分解の問題について 次の行列式の値を求め、因数分解せよという問題があるのですが、解答がないので自分の答えがあってるか心配でしつもんしました。 自分の答えだと z(xyz)y^2 になりました 行列式は画像で添付しました例題18 次の行列式を因数分解せよ fl fl fl fl fl fl fl 1 1 1 a b c a2 b2 c2 fl fl fl fl fl fl fl 解 与えられた行列式でa = bとおくと1列目と2列目が等しくなるので, 行 列式は0 になる 従って与えられた行列式はa−b を因数として持つ 同様に
行列式の因数分解について 行列式の因数分解について質問です 解答が無 Okwave
行列式 因数分解 文字
行列式 因数分解 文字- · この多項式は = (a b c) (a^2 b^2 c^2 ab bc ca) と因数分解されることが「公式」として知られています。 確認したければ展開すれば良いですね。 あえて発見的に求めるとすれば、まず最低次の1文字について整理します。 ここではどれについても3次なので、例えばaについて整理すると、 = a^3 (3bc)a (b^3 c^3) = a^3 (3bc)a (b c) (b^2 bc c^2) (b c)と因数分解されたとする.ただし, ここで各 個, 個の根 と 最高次数の係数 , を一般的に文字で考え, 他の係数はそれらの対称式(の 倍)として定まるものとする. ある とある に共通の不定元 を代入す



行列式的计算方法专题小结 简书
第3列の要素を因数分解する. = (b − a) (c − a) 1 b a 1 c a 定数倍の性質より,第2行の (b − a) と, 第3行の (c − a) を行列式の外に出す. = (b − a) (c − a) {1 × (c a) − 1 × (b a)} 行列式の値を求める. = (b − a) (c − a) (c a − b − a) · ベストアンサー 数学・算数 行列式の因数分解がとけません。 どうしてもわからないので最後の答えだけ(途中計算は答えのページに載ってないので。 )を参照にしてやってみたのですが。 a b c a2 b2 c2 a3 b3 c3 を因数分解せよという問題で、私は1列-2列、2列-3列、3列-1列をして、 abc0 0 0 ab bc ca a2b2,b2c2,c2a2 =abc (ab) (bc) (ca)|0 0 0 1 1 1 aこの電卓で、行列式、行列の階数、累乗、足し算、掛け算、逆行列を求めることが出来ます。 列要素を入力うぃ、ボタンをクリックするだけです。 余分なセルを 空のままにしておいて 非正方行列を入力してください。 小数(有限および循環)を使用することができます: 1/3 、 314 、 13 (56) 、または 12e4 ;または演算式: 2/33* (104) 、 (1x)/y^2 、 2^05 (= 2) 、 2
推薦システムのための行列因数分解の使用 (1) マトリックス因数分解では、ユーザーのイタリア料理に対する嗜好やアイテムの食品のイタリティなどの「潜在的な要因」がマトリックス内の評価に関係していると見なされます。 したがって、問題全体の種類 · だったら、a=bとかb=cとかc=aとかにしてみると0になるっていうのが一目でわかるので、因数 (ab) (bc) (ca)を持つっていうのがわかります。 そうしたら、 (ab) (bc) (ca)を出すように基本変形しましょう。 (b+c)^2 ab ca ab (c+a)^2 bcの正方形ブロックでブロック三重対角行列の LU 因数分解を行うには 部分 LU 因数分解を、行列の最初の 2 つのブロック行と最初の 3 つのブロック列 (
4次式の因数分解の公式 x 4 x 2 1 = (x 2 x 1) (x 2 − x 1) ⇒ 導出計算 ホーム>>カテゴリー別分類>>数と式>>整式:因数分解の基本公式 最終更新日: 16年12月12日行列式を因数分解せよという問題です 分からないのは 4 5 7 8 です Clear La 11 13 11 12 08 利用因式定理進行行列式化簡 Youtube · 因数分解共通因数でくくるやり方まとめ! お疲れ様でした! 以上、共通因数でくくり因数分解のやり方でした。 共通因数でくくるというのは、ちょっと慣れが必要かもしれませんが何度も練習していれば苦労なく解くことができるようになります。



行列式经典例题 看清楚 它不是范德蒙 哔哩哔哩 つロ干杯 Bilibili



書記が数学やるだけ 42 行列式の計算 1 具体的な計算 因数分解 鈴華書記 Note
行列式(n次元) 理系の彼氏が突然LINEで行列式の計算問題を送ってきたのでこれを使って返事しました。 理系マウントとられなくてよかったです。 検算に役立ちました。 導出の過程まで書いてくれているのがありがたいです。 虚数単位を含む行列式の34 行列式の因数分解 今後,文字を含む行列式を計算し,その結果を因数分解することが必要になることがある1。こ のためには,文字を含む行列式を計算する際に,うまく共通因数を作り出すこと因数分解のモードの選択 引数 FactorMode を使用して、特定の因数分解モードを選択します。 因数分解のモードを指定しないで、ある式を因数分解します。既定では、factor は有理数の範囲の因数分解を行います。 このモードでは、factor は有理数が厳密にシンボリック型を保持するようにします。



行列式特性 Quod Erat Demonstrandum



因式分解
行列式 (4)基本性質による因数分解 == 行列式の基本性質を用いた因数分解 == このページでは,行列式の基本性質を使って,文字式の値を求める問題を扱う. 以下においては,これらの基本性質のうちで,主に次の2つを使って,文字式の変形を行う. 行列式の基本性質 (A) 行列式の1つの行を定数 (k)倍すると,行列式の値はk倍になる. 行列式の1つの列を定数 (k2406 · N を非負整数全体の集合とする。 Sn を {1,,n} から {1,,n} への全単射全体とする(n 次対称群)。 置換 σ∈Sn に対し sgn σ を σ の符号とする。ここでは、最も簡単な以下の式を紹介します。 次の行列式を因数分解せよ。 a b b a (答) 与式の第2行第1行より、 a b ba ab 第2行の共通因数のabをくくり出して、 (ab) a b =(ab)(a(b))=(ab)(ab) 1 1



可逆矩阵的行列式 Csdn



行列式的计算方法 课堂讲解版 Doc 沃文网wodocx Com
因数分解の電卓 因数分解したい式を入力してください。 因数分解電卓 複雑な式を単純な因子の積に変換します。 この因数分解電卓は、任意の変数を含む多項式だけでなく、より複雑な関数を因数分解することができます。 数式の書式を表示次正方行列 を考える その行列式 も の微分可 能な関数であって となることを示せ 問題 を 行列式の性質をうまく用いて因数分解せよ6 行列式の性質 以下に行列式の満たす性質を挙げる。これらの性質を使うと計算が簡 単になる。 1 正方行列A の行列式とその転置行列tA の行列式は同じ。つまり、 jAj = jtAj 以下、列に対して成り立つ計算はこのことから行に対しても成り 立つ。



行列式的性质 玄数



コイン100枚でお願いします この行列式を因数分解してくださ Yahoo 知恵袋
· 因数分解 行列の因子分解 詳細は「行列の分解」を参照「リー群の分解」も参照行列環は非可換であり、行列の積は一意分解を与えない(すなわち、ひとつの行列をほかの行列の積として書く方法が一般に複数存在する)から、行列の線形代数 線形方程式、固有値、特異値、分解、行列演算、行列構造体 MATLAB ® の線形代数関数は、高速で数値的にロバストな行列計算を実行します。 さまざまな行列の因数分解、線形方程式の解法、固有値および特異値の計算などの機能があります1 行列のn乗 因数分解を使って 金沢光則 平成11 年10 月3 日 1 始めに 行列のn乗を計算する方法はたくさんあるが、ここでは、CaleyHamilton を因数分解した式を使って計算 する。 もちろん、行列には零因子があるので、(A−αE)(A−βE) = O であるからといっても、A = αE またはA = βE とは言えないので



数学の質問です 行列式の因数分解なのですが できるだけ0をつくって 高校 教えて Goo



特征多项式的计算以及矩阵秩的概念 百度经验
写真の行列式を因数分解する問題について、やり方が分かりません。 教えて欲しいです。 Clear 数学 大学生・専門学校生・社会人 11ヶ月前 ゲスト 写真の行列式を因数分解する問題について、やり方が分かりません。 教えて欲しいです。 · 単に好みの問題と言ってもいいけれども、 この場合は列基本変形を使う方が楽だと思う。 1 列を 2, 3 列から引く 1 0 0 a (ba) (ca) a^3 (b^3a^3) (c^3a^3) あとは、2列に共通因子 (ba) があること、3 列に共通因子 (ca)があること、 1行に関するラプラス展開を使って、 (与式) = (ba) (ca) {c^2aca^2 (b^2bca^2)} = (ba) (ca) (cb) (cb)a ナイス! その他の回答をもっ問題7 次の行列式を定義により計算せよ また行列式の性質を活用することによって因 数分解された形を計算せよ fl fl fl fl fl fl fl a b c c a b b c a fl fl fl fl fl fl fl 問題8 次の行列式を(行列式の性質を活用して) 計算せよ (因数分解できるものは因数



行列式因式分解例题 因式分解行列式 三人行教育网 Www 3rxing Org



數學全部合集單詞卡 Quizlet
行列26の解説 (5行5列の因数分解による行列式) Tweet 統計検定2級レベル解説動画(数検1級相当) 次の行列式を計算し、実数の範囲で因数分解の形で答えなさい。 0 1 x x 1 1 0 1 x x x 1 0 1 x x x 1 0 1 1 x x 1 0 上の行列式の第1行に2行、3行、4行、5行を加える次の行列式の因数分解をしたいのですが、どうもうまく、くくりだせません。 1 x x^3 1 y y^3 1 z z^3 1列の1倍を各列で加えてみたり 1行の1倍を各行で加えてみたりしましたが うまく因数分解できませ問いの行列式は7次の同次式で、因数定理より a,b,c,d の中の異なる二数の差で割れるため ⋯ = (ba) (ca) (da) (cb) (db) (dc) (paqbrcsd) と書けるはずです。 あとは係数比較で p=q=r=s=1 が導かれます Roy 3年弱前 ありがとうございます!



范德蒙行列式的应用下载 Word模板 爱问共享资料



3 2行列式
· a=b または b=c または c=a のとき、 一致する行ができて、行列式は 0 になるから、 因数定理により、行列式は = (ab) (bc) (ca)P と書ける。 P は、a,b,c の対称な1次式である。 対称な一次式は = s (abc) t, (s,t は定数) という形のものしかないから、 後は、 (a,b,c) = (0,1,1) と (0,1,2) でも 代入して、行列式の値を計算してみれば、このとき, 最小多項式は(x−q2)(x1) の因数であり, 式(1)を満たす3 つの行列の組は基底の変換を除いて(共役を除いて) 本質 的に1 5つしか存在しない 問題5 上に書いたT1,T2,T3 以外の残りの4つのうち組を3つ以上みつけよ(2つは, 直 ぐに見つかる)「lu 因数分解されたブロック三重対角係数行列を含む連立線形方程式を解く」では、因数分解レシピを拡張して連立方程式を解きます。 「ブロック三重対称正定値行列の因数分解」 では、BLAS と LAPACK ルーチンを使用した対称正定値ブロック三重行列のコレスキー因数分解を説明します。



行列式を因数分解せよ やり方が分かりません 分かる方よろしくお願いし Yahoo 知恵袋



特征多项式的计算以及矩阵秩的概念 百度经验
以下の因数分解を求める方法は、3つの因数があることを示します。 行列の法則から 行列の法則から ここで k = 1, 2, 3 従って 従って以下のように変形できます。 上記の式の変形は以下の行列の法則を適用しています。 以上は3次の巡回行列式ですが、同じように4次巡回行列式に関しても同じ方法で · 行列29の解説 (4行4列の因数分解になる行列式) 数学検定1級はこれだけで合格できる。 数学検定1級はこれだけで合格できる。 TOP > 数検1級の線形代数 > 行列29の解説 (4行4列の因数分解になる行列式)



二项式公式 多项式公式和因式分解 知乎



一個分解因式的問題 Isdp08am 隨意窩xuite日誌



行列式的计算方法专题小结 简书



書記が数学やるだけ 42 行列式の計算 1 具体的な計算 因数分解 鈴華書記 Note



数学 线性代数 知乎



行列式 Matlab教程



线性代数期末复习 什么王茶的博客 Csdn博客 线性代数期末



La 11 13 11 12 08 利用因式定理進行行列式化簡 Youtube



行列式 行列式在數學中 是一個函式 其定義域為det的矩陣a 取值為一個 百科知識中文網



基礎数学演習i



基礎数学演習i



没法理解高等数学怎么办 认真的人是这样学的 二 每日头条



因式分解 二元二次多项式 哔哩哔哩 つロ干杯 Bilibili



分解例题 初中数学 因式分解的常用方法 例题详解 温迪教育的博客 程序员宅基地 程序员宅基地



基礎数学演習i



Second Order Determinant 玄数



行列式的计算方法专题小结 知乎



電気磁気工学を学ぶ ヴァンデルモンド行列式



二项式公式 多项式公式和因式分解 知乎



16考研数学 求逆矩阵的因式分解法 文都考研网



書記が数学やるだけ 42 行列式の計算 1 具体的な計算 因数分解 鈴華書記 Note



八元数矩阵的行列式及其性质 乐橙lc8官网版



行列式の因数分解 数学科卒による数学検定1級解説 Part 1次 Youtube



三階行列式行列式的性質1 2 Youtube



数学 线性代数 知乎



李宏毅 线代总结 四 知乎



行列式特性 Quod Erat Demonstrandum



高等代数 行列式 Llllasda的博客 Csdn博客 高等代数行列式



行列式的性质 玄数



行列式特性 Quod Erat Demonstrandum



行列式因式分解例题 因式分解行列式 三人行教育网 Www 3rxing Org



行列式与矩阵的区别 Hellocsz的博客 Csdn博客 矩阵和行列式的区别



二二阶行列式与逆矩阵 人教版高中选修4 2数学电子课本 数九网



如何对二项式进行因式分解 包含图片



巡回行列式の因数分解



高等代数知识结构 Docx下载 Word模板 爱问共享资料



科學月刊 范德蒙行列式



行列式的计算方法 课堂讲解版 Doc 沃文网wodocx Com



行列式の因数分解について 行列式の因数分解について質問です 解答が無 Okwave



2



三階行列式 三階行列式因式分解 Youtube



この行列式の因数分解ができません これテキスト間違ってますよね 自分でやると Clear



线性代数 概念定理大全 繁凡さん的博客 Csdn博客



余子式 行列式按行 列 展开 玄数



隨筆誌 二上3之3面積與二階行列式 相依方程組與三未知數立方和之值問題



行列式a等于0的求解技巧 百度经验



矩阵论笔记 矩阵特征矩阵的行列式因子 不变因子 初等因子 努力奋斗 Csdn博客 行列式因子怎么求举例



行列式特性 Quod Erat Demonstrandum



の問題で答えが A B B C C A となるんですが 自力でやっても全く答え Clear



行列式です 3と4の因数分解をお願いします 4 A B C X Yahoo 知恵袋



三阶行列式 玄数



この行列式の因数分解ができません これテキスト間違ってますよね 自分でやると Clear



行列式因式分解例题 因式分解行列式 三人行教育网 Www 3rxing Org



行列式的计算方法专题小结 简书



行列式を因数分解せよという問題です 分からないのは 4 5 7 8 です Clear



行列式的性质 玄数



數學全部合集單詞卡 Quizlet



二项式公式 多项式公式和因式分解 知乎



K倍的a的行列式的值 线性代数行列式和矩阵问题 Ka K的n次方 A Ka K A 这两个等式 是正确的嘛 感 三人行教育网 Www 3rxing Org



因式分解 二元二次多项式 哔哩哔哩 つロ干杯 Bilibili



线性代数知识点下载 在线阅读 爱问共享资料



基礎数学演習i



三階行列式 三階行列式因式分解 Youtube



二项式公式 多项式公式和因式分解 知乎



没法理解高等数学怎么办 认真的人是这样学的 二 每日头条



行列式的计算方法专题小结 知乎



行列式の因数分解です この2問の解き方を教えてください 行列式の因数 Yahoo 知恵袋



高等代数第四版电子书pdf下载 高等代数第四版王萼芳电子版高清pdf合集 附习题及答案 精品下载



如何对二项式进行因式分解 包含图片



行列式的性质 玄数



写真の行列式 の計算を 途中式含めて 回答して欲しいです よろしくお願いします Clear



代数の行列式の値を求める問題と因数分解する問題です 解き方が分から 大学 短大 教えて Goo



行列式を因数分解せよって問題なんですけど この回答あってますか もっと楽な解 Yahoo 知恵袋



行列式的应用下载 在线阅读 爱问共享资料



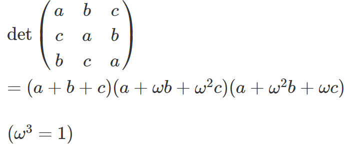
高校数学の美しい物語の管理人 A 3 B 3 C 3 3abc の因数分解公式を行列式で表したもの



書記が数学やるだけ 42 行列式の計算 1 具体的な計算 因数分解 鈴華書記 Note



数学 论文行列式解法及应用下载 Word模板 爱问共享资料



基礎数学演習i



行列式的计算方法专题小结 简书



行列式因式分解性质 问一题行列式的因式分解 三人行教育网 Www 3rxing Org



この行列式を因数分解した形で求めるやり方を教えてください Clear



Http Mems Mt Ntnu Edu Tw Document Class 103 E4 B8 8b E5 Ad B8 E6 9c 9f E5 A5 E6 95 B8 E4 B8 80 E8 A1 8c E5 97 E5 8f E7 9a 84 E5 9b A0 E5 8f E5 86 E8 A3 Pdf



行列式的计算方法 课堂讲解版 Doc 沃文网wodocx Com



行列式 三階行列式展開例題 Youtube

コメント
コメントを投稿